My full PhD thesis can be downloaded here:
https://papyrus.bib.umontreal.ca/xmlui/handle/1866/12348
The Introduction (Chapter 1) is only available in French.
And a direct link to the PDF version can be found here:
https://papyrus.bib.umontreal.ca/xmlui/bitstream/handle/1866/12348/Gagne_Jonathan_2015_these.pdf?sequence=2&isAllowed=y
The scientific papers that were a direct result of this PhD thesis can be found here:
- Gagné, J. ; Lafrenière, D. ; Doyon, R. ; Malo, L. ; Artigau, É. ; BANYAN. II. Very Low Mass and Substellar Candidate Members to Nearby, Young Kinematic Groups With Previously Known Signs of Youth; 2014; ApJ, 783, 121. arxiv:1312.5864. – Link to scientific material
- Gagné, J. ; Faherty, J. K. ; Cruz, K. ; Lafrenière, D. ; Doyon, R. ; Malo, L. ; Artigau, É. ; The Coolest Isolated Planetary-Mass Brown Dwarf Candidate Member of TWA; 2014; ApJ, 785, L14. arxiv:1403.3120 – Link to scientific material
- Gagné, J. ; Lafrenière, D. ; Doyon, R. ; Artigau, É. ; Malo, L. ; Robert, J. ; Nadeau, D. ; SIMP J2154-1055: A New Low-Gravity L4β Brown Dwarf Candidate Member of the Argus Association; 2014; ApJ, 792, L17. arxiv:1407.5344 – Link to scientific material
- Gagné, J. ; Lafrenière, D. ; Doyon, R. ; Malo, L. ; Artigau, É. ; BANYAN. V. A Systematic All-Sky Survey for New Very Late-Type Low-Mass Stars and Brown Dwarfs in Nearby Young Moving Groups; 2015; ApJ, 798, 73. arxiv:1410.4684 – Link to scientific material
- Gagné, J. ; Faherty, J. K. ; Cruz, K. L. ; Lafrenière, D. ; Doyon, R. ; Malo, L. ; Burgasser, A. J. ; Naud, M.-E. ; Artigau, É. ; Bouchard, S. ; Gizis, J. E. ; BANYAN. VII. A New Population of Young Substellar Candidate Members of Nearby Moving Groups from the BASS Survey ; Accepted in Supplements of ApJ. arxiv:1506.07712.- Link to scientific material
My thesis project consisted in the search for brown dwarfs and low-mass stars (spectral types > M5) members of moving groups in the solar neighborhood. Moving groups are relatively young (10 to 150 Myr) ensembles of stars. They formed together from the same molecular cloud, and their several million years of age was sufficient to get rid of interstellar dust remaining from early stages of formation, as well as for star members to slowly start dispersing in the Milky Way. However, even if they started dispersing we can still notice that they belong to a given moving group because they still have similar galactic velocities (hence the name « moving group »).
It is quite difficult to identify new members to moving groups, for several reasons :
Statistical predictions for UVW space velocities of AB Doradus candidates (purple points) compared to bona fide members (green points). The orange ellipsoid is the kinematic model used in the BANYAN tool. The model and data points were projected on the three planes for visibility.
- We have to precisely measure the distance of each star (with the method of trigonometric parallax), which requires several years of observation per star;
- We must also measure the radial velocity (velocity along the line of site) of each star, using the Doppler effect that slightly shifts stellar lines. This requires high resolution spectroscopy, hence a very good instrumental sensitivity and large telescopes, particularly for the less massive, fainter members;
- Since these moving groups are located close to the Sun (closer than approximately 400 light years, which is called the « Solar neighborhood »), they can be found almost everywhere on the Celestial sphere.
For these reasons, only massive and bright members have already been identified for the most part. Extensive efforts have recently been made to identify lower mass members to these moving groups (mainly spectral types ~K0 to M5) by a number of different teams, including Lison Malo.
Proper motion (velocity of stars projected on the Celestial sphere) as a function of position, for known members of different moving groups. Solid lines are the great circles representing the trajectory of each star on the Celestial sphere. It can be seen that the trajectories of all members cross each other at two distinct positions, called apex and anti-apex.
In order to be able to identify a large quantity of new candidate members to those moving groups without needing to measure their distance or radial velocity first, our team developed a statistical tool named BANYAN, which is based on Bayesian inference. My principal contribution is to continue developing this tool (see BANYAN II) as well as adapting it and using it for the search of candidate members with even lower masses, covering the regime of brown dwarfs, and even planetary masses.
I started from a cross-match the near-infrared (NIR) catalogs 2MASS and AllWISE which was input to BANYAN II to identify a set of credible candidates. I then performed a NIR spectroscopic follow-up to identify signs of youth and hopefully corroborate the membership hypothesis.
Many fundamental reasons lead us to search for such objects. First, they would allow us to understand their population statistics through their initial mass function (IMF; the population histogram as a function of mass). Many questions are still open concerning this IMF; for example, we don’t know well how it depends upon environment. It will also provide us with precious informations on the physical processes at play during the formation of low-mass stars and brown dwarfs.
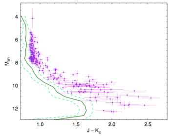
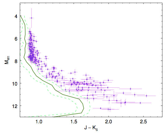
2MASS-WISE Color-magnitude diagram for all BASS candidates (purple points; using their statistical distances from the BANYAN tool), compared to the field sequence (green thick line) and its scatter (green dashed lines). Candidate members to young moving groups fall to the right of the field sequence, which is consistent with youth (i.e. over-luminosity due to a larger radius, and/or redder colors due to thicker clouds).
A second benefit will be to help us understanding the atmospheres of gaseous giant exoplanets, particularly difficult to study because of their host stars, typically very close and many times brighter, hence blinding our instruments. Effectively, the atmospheres of young and very low-mass brown dwarfs display a dazzling resemblance with those of the few giant planets for which we were yet able to study the atmosphere.
This brings us to the second interest of this PhD project : searching for potential subtle differences between the atmospheres of planetary-mass brown dwarfs, and those of exoplanets. The question of where to draw the line between calling low-mass, isolated objects « brown dwarfs » or « planets » is still blurry, and still yields heated debates within researchers. The International Astronomical Union (IAU) has adopted the definition that the limit between these two types of objects is at 13 times the mass of Jupiter, below which we believe a stellar object would never do the nuclear fusion of deuterium in its core. However, this does not take account of the fact that objects below 13 Jupiter masses can most probably form and behave like brown dwarfs.

Furthermore, it is expected that some gaseous planets will get ejected from young stellar systems because of dynamical interactions. This would give rise to a population of freely floating exoplanets, with properties very similar to those of low-mass brown dwarfs. Identifying subtle differences in the atmospheres of exoplanets and brown dwarfs could thus allow us to differentiate between such low-mass brown dwarfs and freely-floating planets.
Finally, another crucial purpose of this project was to build up a compelling target list for the search of exoplanets by the method of direct imaging. The contrast between low-mass stars and young planets will be lower than that of typical systems, which will facilitate these types of detections, as well as their follow-up study.
A reproduction of the abstract of this PhD thesis is given below:
“The main objective of this thesis is the identification of low-mass star and brown dwarf members of young moving groups in the solar neighborhood. These associations are typically younger than 200 million years and include stars formed at the same time and in the same environment. The majority of their members with masses approximately larger than 0.3 times that of the Sun have already been discovered, however the less massive, fainter members are still elusive. Their identification will allow us to address several fundamental questions in astrophysics. In particular, uncovering young objects that are still warm because of their recent formation will allow us to probe masses down to only a few times the mass of Jupiter, a mass regime which is still poorly understood. They will allow us to constrain the initial mass function and explore the connection between brown dwarfs and exoplanets, given that the least massive brown dwarfs have physical properties similar to those of gaseous giant exoplanets. In order to carry through this project, we have adapted the BANYAN I statistical tool to make it applicable to very low-mass objects in addition to bringing several improvements to the tool.
We have included the use of two near-infrared color-magnitude diagrams that allow differentiating young low-mass stars and brown dwarfs from older objects, we added the use of prior probabilities to make its results more realistic, we adapted spatial and kinematic models of moving groups using tridimensional gaussian ellipsoids with axes free to rotate, we performed a Monte Carlo analysis to characterize the rate of false-positive and false-negatives, and we revised the structure of its source code to make it more efficient. As a first step, we have used this new algorithm, BANYAN II, to identify 25 new candidate members among a sample of 158 known young low-mass stars (with spectral types > M4) and brown dwarfs. We have then performed a cross-correlation of two all-sky near-infrared catalogs consisting of ~ 500 million celestial objects to identify approximately 100 000 brown dwarf and low-mass star candidates in the solar neighborhood. We have identified a few hundred promising young association members in this sample with the BANYAN II tool, and have performed a near-infrared spectroscopic survey to characterize them. The work presented here has led to the identification of 79 candidate young brown dwarfs and 150 candidate young low-mass stars, and a spectroscopic follow-up allowed us to confirm the young age of 49 brown dwarfs and 62 low-mass stars. We have thus boosted the number of known young brown dwarfs by a factor ~ 2, opening the door to a statistical characterization of their population.
These new young brown dwarfs represent an ideal laboratory to better understand the atmospheres of gaseous giant exoplanets. We have identified the first signs of a turn-up in the initial mass function of very low-mass brown dwarfs in the Tucana-Horologium association, which could indicate that exoplanet scattering plays a significant role in composing their population. Results from this spectroscopic follow-up has allowed us to construct an complete empirical sequence of spectral types M5-L5 for field dwarfs, low-gravity (β) and very low-gravity (γ) dwarfs. We have performed a comparison of these new data with evolution and atmosphere models, and constructed a set of empirical spectral type-magnitude and color-magnitude sequences for young brown dwarfs. Finally, we have discovered two new exoplanets from a direct-imaging follow-up of low-mass stars discovered as part of this project. The future GAIA mission and the complete spectroscopic follow-up of the candidates presented in this thesis will allow to confirm their membership and to constrain the initial mass function in the substellar regime.”
Finally, a reproduction of the Conclusion section of this PhD thesis is given below:
“The work presented in this thesis focuses on identifying and characterizing the population of brown dwarfs and low-mass stars members of young moving groups (YMGs) in the solar neighborhood. The principal interest of this work is the identification of young brown dwarfs whose mass and physical properties are similar to those of the gaseous giant exoplanets detected with high contrast direct-imaging methods. It also aims at identifying the low-mass population of YMGs, which will allow for a detailed characterization of their initial mass function (IMF) in the substellar regime.
The BANYAN II tool
The first part of this thesis was dedicated to developing an algorithm that allows for the identification of very low-mass (~< 0.11 M_Sun or ~< 115 M_Jup) candidate members of YMGs, corresponding to spectral types M5 or later. This algorithm, named BANYAN II, takes several observables as inputs, including celestial coordinates, proper motion and near-infrared magnitudes in the J, H, K_S, W1 and W2 bands. It then compares the XYZUVW coordinates of an object with spatial and kinematic models of YMGs in the solar neighborhood and a field model of the Galaxy by assuming a series of distances and radial velocities. This comparison is performed using bayesian inference and results in a probability density distribution for every hypothesis as a function of distance and radial velocity. These two parameters, when unknown, are then marginalized by integrating the probability density distribution over the full domain, thus yielding a membership probability for every YMG and the field.
This tool, inspired from BANYAN I (Malo et al. 2013, Malo et al., 2014), includes several modifications and important improvements. In particular, two color-magnitude diagrams in near-infrared wavelengths are used to target young objects with unusually red colors, a consequence of the thicker dust clouds in their high atmospheres. In comparison, BANYAN I used one color–magnitude diagram in visible and near-infrared wavelengths, limiting its use to objects with spectral types earlier than M5. Furthermore, the spatial (XYZ) and kinematic (UVW) models describing YMGs were made more general by describing them with gaussian ellipsoids whose axes can freely rotate in space. Finally, the prior probabilities used in Bayes’ theorem were made more realistic, and extensive false-positive and false-negative analyses were carried out with a Monte Carlo method. Before establishing the updated spatial and kinematic YMG models used in our analysis, we updated the compilation of bona fide members of YMGs in the solar neighborhood that was presented by (Malo et al. 2013), by complementing it with 16 new members identified by other literature work.
We used BANYAN II to identify 25 new >= M5 candidate members of YMGs in the solar neighborhood among a list of 158 known young low-mass stars and brown dwarfs from the literature. One of these membership predictions has already been confirmed by another team through the measurement of the candidate’s radial velocity and trigonometric distance (Gizis et al. 2015). A similar follow-up is ongoing for several other candidates (J. K. Faherty et al., in preparation). We made the BANYAN II tool available to the community on a web page, which received more than 4 000 unique visits by users from 23 countries to this day.
The BASS survey
Equipped with the BANYAN II tool, we have then initiated the BANYAN All-Sky Survey (BASS), which allowed us to identify 228 new candidate members of YMGs in the solar neighborhood with spectral types in the M4-L6 range. In a first step, we have set up a list of 98 870 objects with spectral types potentially later than M4 in the solar neighborhood, and measured their proper motion from a cross-match of the 2MASS and WISE catalogs. We have validated our method by cross-matching these 228 candidates with information available in the literature, which has allowed us to confirm or reject several candidates, as well as estimate a false-positive rate of 13%. This analysis has allowed us to identify the 2MASS J01033563-5515561 (AB)b system as a new bona fide member of the Tucana-Horologium association. This system includes a binary M5+M5 star and a 12-14 M_Jup companion at a projected orbital separation of ~84 AU.
The BASS survey has allowed us to set up a list of 275 additional candidates whose near-infrared colors are only marginally redder than the field sequence (this constitutes the Low-Priority BASS, or LP-BASS). It is expected that this list includes several real members of YMGs, however its false-positive rate is estimated to be higher, at 26%.
We used this set of new YMG candidate members to identify the first signs of mass segregation in the AB~Doradus, Tucana-Horologium and Columba associations. To achieve this, we have used the method of Minimum Spanning Trees (MSTs), which had already been successfully applied to measure mass segregation in several open clusters (e.g., Allison et al. 2009; Pang et al. 2013), but was never before used on YMGs of the solar neighborhood.
The BASS survey also includes a list of 98 970 objects in the solar neighborhood with spectral types potentially later than M4, which served as our input sample. This list will be particularly useful for the search of exoplanets around late M dwarfs with high precision near-infrared radial velocity measurements and the method of transits, in particular with the Transiting Exoplanet Survey Satellite (TESS) mission that will survey more than 500 000 stars distributed on the whole Celestial sphere. Furthermore, this sample will be useful to search for new field brown dwarfs in the solar neighborhood.
The discovery and characterization of new young brown dwarfs
The third part of this thesis focused on a near-infrared spectroscopic follow-up of 240 candidate members of YMGs in the solar neighborhood that were identified as part of this thesis. These candidate members come both from the BASS and LP-BASS catalogs as well as from a preliminary version of the BASS catalog. This follow-up has allowed us to identify 110 new young low-mass stars and brown dwarfs with spectral types in the M5-L5 range, which are probable members of the YMGs under study. These new discoveries have allowed us to define for the first time spectroscopic templates for the L3 β, L4 β and L5 β spectral types, which are anchored on their optical classification while remaining consistent with the method of Allers & Liu (2013). These discoveries have allowed us to refine the estimated rate of false-positives in the BASS sample to 20%, which is slightly higher than the first estimation presented in Gagné et al. (2015; 13%), but that still represents a significant progress over previous methods. Before the publication of this paper, only 66 candidate members of YMGs with spectral types >= M5 were known, as well as 28 others that were reported in previous Chapters of this thesis. Our observations have thus boosted the number of known >= M5 candidate members of YMGs by a factor of more than two.
We used this new sample of young objects, complemented with 41 young dwarfs from the literature, to build new sequences in 16 spectral type-magnitude and color-magnitude diagrams. We have then compared our observations to theoretical evolutionary and atmospheric models to shed light on their present limitations. In particular, we confirmed that atmosphere models that best reproduce the spectral energy distribution of young brown dwarfs are systematically cooler than those that best fit old brown dwarfs of the same spectral type. This effect had already been demonstrated for the young brown dwarf HD~203030 B (Metchev et al. 2006) and for the giant gaseous exoplanets TWA 27 b (Barman et al. 2011a) and HR 8799 b (Barman et al. 2011b).
Finally, we discussed the fact that we have identified a surprising number (12) of new young brown dwarf candidate members of the Tucana-Horologium association within 50 pc and for which the estimated mass is located in the 12.5-14 M_Jup range. We have thus identified 36.4(-12.5;+16.6) times too many objets in this mass range compared to what would have been expected from the predictions based on a typical IMF and the population of massive members of Tucana-Horologium. This new population corresponds to one young brown dwarf of 12.5-14 M_Jup for every 17.5(-5.0;+6.6) main-sequence stars in this association. It remains to be determined whether this over-population is only observed in Tucana-Horologium or if it betrays the first signs of a turn-up in the IMF that could correspond to a population of giant, gaseous exoplanets that were ejected from their stellar system in their young age (e.g., see Sumi et al. 2011).
The connection between brown dwarfs and giant exoplanets – Future perspectives
The work presented in this thesis allowed us to identify a significant number of new young brown dwarfs. By knowing their age via membership to YMGs, we have been able to estimate their masses and noted that several of them have estimated masses below 13 M_Jup. Their mass and temperature being similar to those of giant, gaseous exoplanets, they will be useful benchmark objects to understand the atmospheric processes that take place in these latter objects. Studies of the HR 8799 planetary system (Marois et al. (2008) have shown that the atmospheres of giant gaseous exoplanets host much thicker dust clouds in their high atmospheres compared to old brown dwarfs of similar temperatures (Currie et al. 2011). This property is also shared by young brown dwarfs, which reinforces the interpretation that they share similar properties with gaseous giant exoplanets.
It will thus be interesting to study the population of young brown dwarfs further to improve our understanding of giant exoplanets. For example, the atmospheres of very cool (T < 1500 K) giant exoplanets are still poorly known (e.g., Naud et al. 2014). A logical prolongation of this thesis will thus be to search for late-type >= T0 brown dwarf members of YMGs. We know that the cloud properties of such cold objects change drastically in the case of old, field brown dwarfs, e.g. when their atmospheric clouds fall below their photosphere. This cloud clearing process causes cold brown dwarfs to have gradually bluer near-infrared colors (e.g., J – K) at lower temperatures.

It is probable that the same phenomenon happens to very cool giant exoplanets, yet these objects are so much fainter than their host stars that current technology does not allow us to study them because of this large contrast in brightness. It would nevertheless already be possible to perform a similar study on young, isolated brown dwarfs, but only a few such potentially young T-type brown dwarfs are currently known. We present in Figure 1 a sample of preliminary candidate T-type YMG members (blue circles) that we identified with a method similar to that described in this thesis, except that several color and quality filters were relaxed. These candidates are not yet confirmed spectroscopically, however we can already note a possible transition to bluer J–K colors.
Following this thesis work, we will thus lead a survey for very cool young brown dwarfs of the T spectral class. As mentioned above, this will allow us to better understand the atmospheres of cooler giant exoplanets, however the potential scientific benefits of such a project do not stop there. The discovery of such very low-mass isolated objects will allow us to confirm or invalidate the recent results that the spatial density of planetary-mass brown dwarfs could be significantly larger than expected (Sumi et al. 2011). More generally, we will directly address the following fundamental question in astrophysics: do planetary-mass brown dwarfs all form in the same way than massive brown dwarfs, or are at least part of them really rogue giant exoplanets that were ejected from their host stellar system shortly after their formation ?
Several future projects in astrophysics will allow us to push the research presented in this thesis even further. Among those, the GAIA mission will measure the parallax, proper motion and radial velocity of a billion stars. The Large Synoptic Survey Telescope (LSST) will obtain exposures of the whole southern Celestial sphere once every few days. The phenomenal quantity of data generated by GAIA and LSST will allow us to revolutionize our comprehension of YMGs, in particular by combining them with the efficiency of the BANYAN tool.
The SPIRou camera (Spectro-Polarimètre InfraRouge), the James Webb Space Telescope (JWST), the Thirty Meter Telescope (TMT), the European Extremely Large Telescope (EELT) and the Giant Magellan Telescope (GMT) will enable an unprecedented characterization of the young planetary-mass brown dwarfs discovered as part of this thesis, in particular because of their vastly augmented sensitivity and their large spectral coverage. The observations that will be made possible with these new technologies will significantly advance our knowledge of the physical properties and processes that take place in the atmospheres of giant gaseous exoplanets. These observations will also allow us to shed more light on the stellar and planetary formation mechanisms.”


